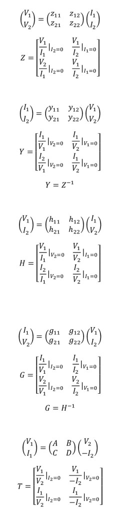
I sort of went down a rabbit hole getting a little obsessed with 2-port networks, an analysis technique that can be very useful for things like power systems, RF circuits, and feedback block diagrams. I might do a post explaining 2-port analysis, but for now I just wanted to show a quick summary cheat sheet for the 2-port network matrices.

When two networks are connected together, they can be connected in the following ways.
